▽ ダウ:7,555.63(+3.03) ナスダック総合指数:1,467.97(-2.69) S&P500:788.42(-0.75)
米株は小動き。オバマ大統領が住宅差し押さえ対策を発表しましたが、効果への疑問や1月の住宅着工件数が冴えなかったことから株価の上昇にはつながりませんでした。住宅建設株は売られました(画像1の上の2銘柄が住宅建設株)。
・1月の米住宅着工件数は‐16.8%、許可件数とも過去最低
http://jp.reuters.com/article/economicIndicatorsAndComments/idJPnJT838315920090218
・1月米鉱工業生産指数:1.8%低下、自動車は集計開始以来の最低
http://www.bloomberg.co.jp/apps/news?pid=90003017&sid=atUJIQfcBcFc
・オバマ米政権が発表した住宅市場安定化策の概要
http://jp.reuters.com/article/topNews/idJPJAPAN-36568720090219
・米金融保証MBIA、地方債保証業務を新会社に分離
http://jp.reuters.com/article/businessNews/idJPJAPAN-36567120090219
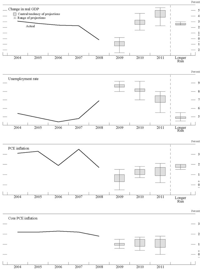
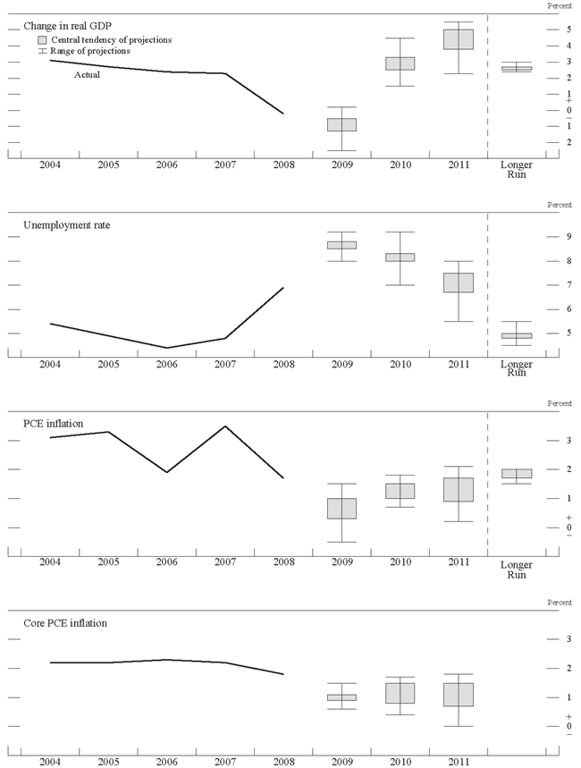
・09年経済見通しを下方修正、インフレ目標設定を検討=FOMC議事録
http://jp.reuters.com/article/topNews/idJPJAPAN-36561420090218
画像2がFRBの経済見通し。こんなに一気に回復しますかね・・・。
・Summary of Economic Projections
http://www.federalreserve.gov/monetarypolicy/fomcminutes20090128ep.htm
▽ 日経平均:7,557.65(+23.21) TOPIX:751.59(+2.33)
日経平均は小幅高。ドルが急上昇しドル円が円安方向に振れたことから、輸出株が買われました。昨日報道されたトヨタの増産観測を好感して自動車関連銘柄が強かったです。
先週の投資主体別売買動向(現物)は、外国人が2000億円の売り越し、信託銀行が1400億円の買い越し、個人が1500億円の買い越し。外国人は、先物は800億円買い越し。個人が結構買っていますね。日経平均8000円割れが底だと思って買った人が多そう。出来高を伴っての急上昇ならあまり関係ないと思いますが、ジリジリとした戻しの場合は日経平均8000円付近で戻り売りが出て上値が重くなると思います。
・1月全国百貨店売上高、11カ月連続減=百貨店協会
http://jp.reuters.com/article/topNews/idJPJAPAN-36572120090219
Doblogがもう駄目っぽいので、googleのBloogerに引っ越しします。すでに登録してアドレスは確保しているのですが、今は色々いじってレイアウトなどを調整中。今週末までにURLはお知らせします。いや~、このブログは何か色々できるみたいですね。RSSとかCSSとか全然知らないので苦戦していますが、自由度はかなり高そうです(テンプレートをそのまま使えば簡単にできるのですが、見た目重視でちょこちょことカスタマイズしています)。
セミナーとかレポート販売とかがお知らせに出ていますが・・・有料のセミナーや商材について書いておきます。
・トレードで儲けられない人がセミナーをやる
⇒聞く価値無し
・トレードで儲けられる人がセミナーをやる
⇒ 多くの人のトレード技術を向上させたいという熱意を持っているのなら、実費でセミナーなり商材販売なりをすれば良い。その方が多くの人を対象にできるでしょうから、高いセミナー料を取る必要はない。人に教えるくらい上手いのだったら、自分の生活費ぐらいはトレードで稼げるでしょ。それと「儲けられる人」と「儲けたことのある人」は同じではないので注意。好地合いの時に1億2億くらい儲けたけど、その後勝てなくなってきたから過去の実績をアピールして有料セミナーをやったりする人もいます。昔勝てたけど、今は勝てないやり方を聞いてもしょうがない。
・証券会社がやっているセミナーは、取引をしてもらって手数料を落としてもらうのが目的。まあでも、アクティブトレードを煽るようなものもそんなにないでしょうから、基本的なことを知りたい人には良いのではないでしょうか。無料ですし。


