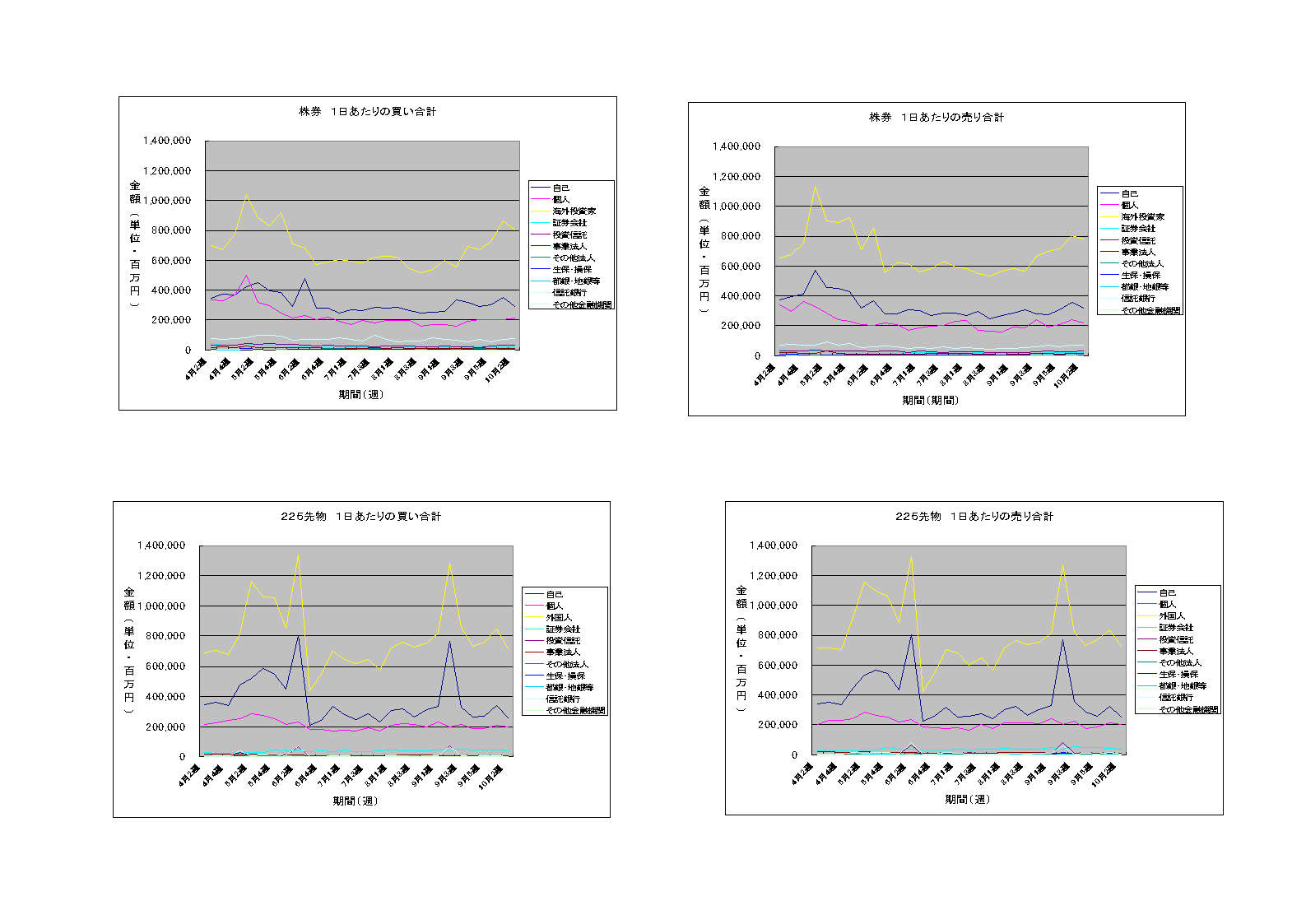
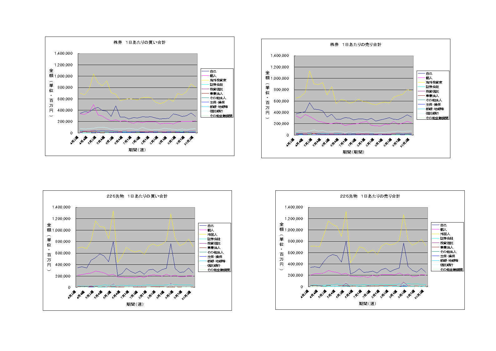
株券、先物ともに売買金額が減少してしまいました。株券の方は増加傾向が崩れるというほどではありませんが、先物の方は少しパワーダウンしたようにも見えます。
デリバティブは相場変動によるリスクを回避するために開発された金融商品である訳ですから、225先物の売買代金がもう少し減って、株券の売買代金がもう少し増えるくらいが丁度、良いような気がします。
証券優遇税制の廃止が議論されていますが、廃止の是非は別として、民主党が抱いている「金持ち優遇」のイメージは経済音痴ならではでしょうか。こういう偏見を持たれると各企業の自社従業員持株会の立場がないですね。

